Сварка, резка и пайка металлов |
Сварочное пламя
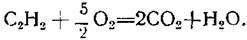
Рассмотрим лишь ацетилено-кислородное пламя, как имеющее наибольшее значение для сварочной техники. Полное сгорание ацетилена происходит по уравнению:
![]()
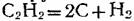
а затем — первая стадия сгорания ацетилена и процесс окисления углерода по формуле
![]()
через целую цепь химических превращений.
![]()
В действи -
Это объясняется тем,
что приведённое выше уравнение не отражает полностью процесса, протекающего в первой стадии горения, например, при окислении углерода в СО неизбежно сгорит и некоторая часть водорода, образуя при этом пары воды.
В зависимости от хода реакций сгорания ацетилена сварочное ацетилено-кислородное пламя имеет форму, схематически показанную на фиг. 136,
с выделением твёрдых частиц углерода. Раскалённые твёрдые частицы углерода ярко светятся, поэтому оболочка ядра является самой яркой частью сварочного пламени, несмотря на то, что её температура относительно невысока и не превышает 1500°

Ядро называется также первой зоной пламени. Внешний вид ядра служит чувствительным индикатором для визуального определения состава газовой смеси и исправности горелки. Зона 2 является самой важной частью сварочного пламени, так как в ней развивается наивысшая температура. В зоне проходит первая стадия сгорания ацетилена за счёт первичного кислорода, поступающего из баллона; она называется сварочной зоной или второй зоной. В сварочной зоне проходит реакция по формуле:
![]()
горения ацетилена:
реакция приближённо протекает по формуле
и пары воды, а также продукты их диссоциации.
Как двуокись углерода, так и водяные пары при высоких температурах окисляют железо, поэтому наружная зона или факел пламени называется также окислительной зоной.
т е, с уменьшением содержания кислорода или увеличением содержания ацетилена в газовой смеси, реакции окисления замедляются, поэтому ядро пламени удлиняется, увеличивается количество свободного углерода, частицы которого появляются и в сварочной зоне, очертания увеличенного ядра становятся размытыми и теряют чёткость.

При значительном избытке ацетилена частицы углерода появляются и в наружной зоне, пламя становится коптящим, удлиняется и приобретает красноватую окраску.
На фиг. 137 схематически показаны изменения очертания ядра пламени при изменениях состава газовой смеси. Изменения размеров, формы и цвета ядра хорошо заметны и могут служить чувствительным индикатором для определения состава газовой смеси. При некотором навыке по виду ядра пламени можно достаточно точно устанавливать нормальный состав газовой смеси, не пользуясь никакими измерительными приборами для расхода газов.
восстанавливает окислы железа и мало влияет
на содержание углерода в расплавленной стали. Нормальное пламя может быть названо восстановительным по отношению к окислам металла и нейтральным по отношению к углероду в металле. Пламя с некоторым избытком кислорода будет частично выжигать углерод и по отношению к нему может быть названо окислительным или обезуглероживающим . Пламя с избытком ацетилена будет повышать содержание углерода в наплавленном металле и называется науглероживающим или ацетиленистым .
Температура пламени различна в различных его точках и зависит от состава газовой смеси и степени чистоты применяемых газов. Наивысшая температура наблюдается по оси пламени, причём она незначительна в первой зоне или ядре пламени, достигает максимума в сварочной зоне, на расстоянии 2—3 мм от конца ядра, и снова падает в третьей, или наружной зоне.


Максимальная температура ацетилено-кислородного пламени определялась многими исследователями как теоретически — путём расчётов, так и экспериментально — непосредственным измерением. Оба метода дают удовлетворительное совпадение результатов. Экспериментальные измерения температуры ацетилено-кислородного пламени спектральным методом производил Н. Н. Клебанов .
На фиг. 138 показано изменение температуры по оси нормального пламени, а на фиг. 139 показана зависимость максимальной температуры пламени от состава газовой смеси. Максимальная температура сосредоточена на небольшом участке пламени, который в процессе сварки должен находиться у поверхности металла. Из фиг. 139 видно, что наивысшая температура пламени, а следовательно, и производительность сварки наблюдается при некотором избытке кислорода в смеси по сравнению с нормальным пламенем. Максимальную температуру нормального пламени для достаточно чистых кислорода и ацетилена можно принять равной 3100—3200°.



