Алюминий в электротехнике |
Удельное электрическое сопротивление металлов и факторы, влияющие на него
С точки зрения квантовой теории электропроводности электрическое сопротивление в проводнике возникает в результате рассеяния электромагнитной энергии при взаимодействии электромагнитных волн с атомами при нарушении правильного строения кристаллической решетки.
При абсолютном нуле в идеально совершенном кристалле атомы расположены строго периодично и электромагнитные волны беспрепятственно проходят сквозь кристаллическую решетку, не испытывая при этом сопротивления. В реальных условиях металлы-проводники имеют искаженную решетку и используются при температурах, отличных от абсолютного нуля.
Основными источниками, вызывающими искажение кристаллической решетки, являются: тепловые колебания и движение атомов, внедрение инородных атомов других металлов, структурные изменения в сплавах, а также наличие различных несовершенств (вакансии, дислокации. и т. п.).
1. Влияние температуры
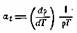
При увеличении температуры атомы металла совершают колебания около узлов решетки, что вызывает рассеяние электронных волн, приводящее к увеличению электрического сопротивления. Это увеличение может быть выражено зависимостью

—удельное электрическое сопротивление при 0°С.
температурный коэффициент электрического сопротивления равен:

это выражение дает средний коэффициент в температурном интервале 0—t С.
При уменьшении этого интервала (в пределе) до нуля получается истинное значение температурного коэффициента при температуре t


При плавлении электрическое сопротивление изменяется у металлов скачкообразно, например, у меди оно увеличивается, в 2 раза.
Влияние деформации

—у дельное электрическое сопротивление отожженного металла, зависящее от температуры, а р — остаточное сопротивление. Экспериментами подтверждено, что р не зависит от температуры или, другими словами, dp /dT не зависит от степени деформации.
При очень малых деформациях иногда наблюдается уменьшение электрического сопротивления, что должно быть приписано побочным явлениям: уплотнению металла, разрушению изолирующих межкристаллитных пленок и т. п.
При отжиге (нагреве металлов выше 0,4 температуры плавления) электрическое сопротивление уменьшается, восстанавливаясь до первоначального (до деформации) значения.
Влияние инородных атомов
Наличие инородных атомов (примесей или легирующих добавок) вызывает нарушение кристаллической решетки металла, что приводит к повышению величины электрического сопротивления.
Если инородные атомы, присутствующие в металле, образуют с ним твердый раствор (см. далее) в количестве до 1% (атомного ), то электрическое сопротивление возрастает приблизительно пропорционально их концентрации (атомной). При больших концентрациях величина удельного электрического сопротивления зависит уже от типа диаграммы состояния, которую образуют легирующая добавка и основной металл.
Для оценки влияния инородных атомов на электрическое сопротивление основного металла предложен ряд эмпирических формул.
Изменение электрического сопротивления от присутствия инородных атомов определяется растворимостью вводимого элемента (легирующей добавки) в основном металле.
может быть согласно правилу Матиссена — Флеминга выражено:

—• добавочное электрическое сопротивление на один атомный процент легирующей добавки).
не зависит от температуры.
для одного ряда твердых растворов (один и тот же металл-растворитель) является величиной постоянной, не зависящей от концентрации легирующей добавки, а температурный коэффициент электрического сопротивления

при температуре T=const в данном ряду твердых растворов).
уменьшается с повышением валентности растворимого легирующего элемента.
Возрастание электрического сопротивления, вызванное одним атомным процентом вводимой добавки, зависит от валентности растворителя и растворяемого металла. Чем больше это различие, тем больше увеличение добавочного электрического сопротивления, т. е.

— валентности легирующего элемента и металла растворителя.
и
при образовании раствора. Например, для меди

— коэффициенты, зависящие от положения легирующего элемента в таблице Менделеева.
Изменение электрического сопротивления по правилу Матиссена — Флеминга справедливо лишь для слабо концентрированных твердых растворов.
В действительности температурный коэффициент электрического сопротивления твердого раствора определяется из формулы

— удельное электрическое сопротивление и
—температурный коэффициент остаточного электрического сопротивления; р — остаточное электрическое сопротивление.

Возникновение упорядочения в твердых растворах — это результат усиления химического взаимодействия компонентов, в результате чего электроны связываются сильнее, чем в неупорядоченном твердом растворе. Усиление химического взаимодействия компонентов уменьшает число электронов проводимости и увеличивает остаточное электрическое сопротивление. Однако при упорядочении электрическое поле ионного остова решетки становится более симметричным, а это, естественно, приводит к снижению остаточного электрического сопротивления. Последнее обстоятельство оказывается превалирующим, и при упорядочении электрическое сопротивление снижается.
в соотношении Mg2Si (или близком к нему) имеется пониженное электрическое сопротивление.
При отходе от стехиометрических составов электрическое сопротивление возрастает вследствие того, что расположение атомов становится менее регулярным.
Электрическое сопротивление сплавов, состоящих из двух или большего количества фаз, может быть определено из электрического сопротивления этих фаз. Рассчитать это содротивление принципиально можно, зная объемное содержание каждой фазы, форму и относительное расположение кристаллов. Гетерогенные системы разделяются на два типа: матричные и статистические.
К системам первого типа относятся такие, в которых одна фаза образует единую матрицу—основу, в которую внедрены не соприкасающиеся между собой кристаллы второй фазы. К статистическим системам относятся сплавы, у которых единой основы нет, они состоят из кристаллов хаотически расположенных, размещение их нерегулярно (статические смеси).
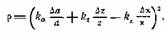
Для матричных систем справедлива зависимость

удельное электрическое сопротивление сплава:
— удельное электрическое сопротивление матрицы.
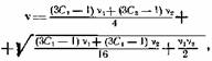
Для статической смеси электропроводность сплава может быть вычислена:

где индексы 1 и 2 относятся к величинам объемной концентрации и проводимости соответственно первой и второй фазы; v — удельная электропроводность сплавов;
— удельная электропроводность матрицы и включенной фазы.



